Saturday, May 22, 2021

C1000-112 - Mutiple Qubits and Entanglement

Multiple Qubits and Entanglement

On 22-May-2021, I continued to study Multiple Qubits and Entanglement.

This article starts with explanation for representing Multi-Qubit states. We are storing complex amplitudes in a vector. If we have 'n' qubits, we need to track 2^n Complex Amplitudes.  It is evident that these vectors grow exponentially as the number of qubits increases.

Here is a Qiskit code to demonstrate the 3 qubits and their state vectors

Let us see another example to represent single Qubit on Multi-Qubit statevector

What will happen if we apply gate to only one bit.  Here is the code and output
In the next code, we will see what will happen when we apply H gate followed by CNOT gate. YES.  We are going to see entangled state.
Histogram of above state is shown below
Bloch sphere representation of the above state is shown below
We can also view them as Q-Sphere visualization as shown below








C1000-112 - QISKit YouTube Channel

QISKit YouTube Channel

For a Change I decided to watch the infamous YouTube channel for QISKit learners.  Yes, am referring to IBM QISKit Channel https://www.youtube.com/channel/UClBNq7mCMf5xm8baE_VMl3A

21-May-2021 : I watched 2 videos from IBM QISKit channel. Being fan of Abe's lectures, I watched two of his videos.

Though I watched them already, today I paid more attention.  I appeared as new watch when you pay attention to familiar videos.




Friday, May 21, 2021

C1000-112 - When to use Quantum Computers

When to use Quantum Computer

22-May-2021, I started with the topic 'The Case for Quantum' from this URL https://qiskit.org/textbook/ch-states/case-for-quantum.html

I learned (refreshed my knowledge) about Big O notation.  This simple chart explained the various computational complexity notation

Image courtesy : IBM Qiskit Textbook https://qiskit.org/textbook/ch-states/case-for-quantum.html

Further I learned the complexity of Factorization which is an exponential complexity making today cryptography techniques unbreakable.

In the closing notes, this article discuss 'When to use Quantum Computer'.  In my opinion, this is very important concept to understand.  Without this understanding, we may be misguided by the Quantum Hype that Quantum Computer is a solution for everything and misunderstanding that Quantum Computer will replace classical computer which is not true.

Quantum computers are great to solve certain class of problems which are classified as NP Hard problems.  From Complexity Theory perspective, any problem having complexity in Exponential form, is suitable for Quantum Computers to solve.


Image courtesy : IBM Qiskit Textbook https://qiskit.org/textbook/ch-states/case-for-quantum.html

From the above image, it is very clear that Quantum Computation has advantage with more volume and more complex problems.

Wednesday, May 19, 2021

C1000-112 - Singe Qubit Gates

 Single Qubit Gates

20-May-2021 : Started learning the topic Single Qubit Gates from this URL https://qiskit.org/textbook/ch-states/single-qubit-gates.html

Pauli X Gate

Pauli Y Gate
Pauli Z Gate


You may also notice that the Z-gate appears to have no effect on our qubit when it is in either of these two states. This is because the states |0 and |1 are the two eigenstates of the Z-gate. In fact, the computational basis (the basis formed by the states |0 and |1) is often called the Z-basis.



R Gate

S and S-dagger Gate
T and T-dagger Gate








C1000-112 - Resources List

Resources List

Am listing out the web resources, which I used for my preparation

1. IBM Exam Index for C1000-112 course

https://www.ibm.com/certify/exam?id=C1000-112


2. Pearson Exam registration

https://wsr.pearsonvue.com/


3. QISKit YouTube Channel

https://www.youtube.com/channel/UClBNq7mCMf5xm8baE_VMl3A


C1000-112 Representing Qubit States

Representing Qubit States

19-May-2021, I studied how to represent Qubit states in QISKIT.

Before proceeding to practice the code given in this article, I strongly recommend the supporting article on Linear Algebra https://qiskit.org/textbook/ch-appendix/linear_algebra.html.  I will write a separate blog on Linear Algebra.

A simple Quantum circuit built using QISKit


Measuring a Quantum Circuit using measure_all() function

Corresponding Histogram of the above circuit

Measure of a quantum circuit which was initialized to Super position


Bloch Sphere representation of a Qubit states







Sunday, May 16, 2021

C1000-112 - Atoms of Computation

 Atoms of Computation


I did not study from 8-May to 16-May for this IBM Certification.  So did not post any blogs. 

Good thing was that I configured my laptop for practicing all QISKit examples. 

17-May : I studied and practiced the chapter "The Atoms of Computation" from this URL https://qiskit.org/textbook/ch-states/atoms-computation.html

Am sharing the QISKit Python code here

from qiskit import QuantumCircuit, assemble, Aer
from qiskit.visualization import plot_histogram
from qiskit_textbook.widgets import binary_widget
binary_widget(nbits=5)
n=8
n_q = n
n_c = n
qc_output = QuantumCircuit(n_q, n_c)
for j in range(n):
    qc_output.measure(j,j)
qc_output.draw()
#I wanted to compare the output of text and mpl format
qc_output.draw('mpl')  
sim = Aer.get_backend('qasm_simulator')
qobj = assemble(qc_output)
result = sim.run(qobj).result()
counts = result.get_counts()
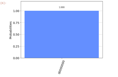
plot_histogram(counts)

Output of the above code
Here is the Requirements.txt list if you are interested.  Please note that I have many other packages also, you can ignore them.

absl-py 0.11.0
appdirs 1.4.4
argon2-cffi 20.1.0
astunparse 1.6.3
async-generator 1.10
attrs 20.2.0
autograd 1.3
backcall 0.2.0
bleach 3.2.1
cachetools 4.2.1
certifi 2020.6.20
cffi 1.14.3
chardet 3.0.4
click 7.1.2
colorama 0.4.3
cryptography 3.1.1
cvxpy 1.1.8
cycler 0.10.0
Cython 0.29.21
decorator 4.4.2
defusedxml 0.6.0
dill 0.3.2
dimod 0.9.14
dlx 1.0.4
docplex 2.15.194
dwave-cloud-client 0.8.4
dwave-networkx 0.8.8
dwave-qiskit-plugin 0.1.0
dwave-system 1.4.0
dwave-tabu 0.3.1
ecos 2.0.7.post1
entrypoints 0.3
fastdtw 0.3.4
fasteners 0.16
fastjsonschema 2.14.5
flatbuffers 1.12
future 0.18.2
gast 0.3.3
google-auth 1.27.0
google-auth-oauthlib 0.4.2
google-pasta 0.2.0
grpcio 1.32.0
h5py 2.10.0
homebase 1.0.1
idna 2.10
inflection 0.5.1
ipykernel 5.3.4
ipython 7.18.1
ipython-genutils 0.2.0
ipywidgets 7.5.1
jedi 0.17.2
Jinja2 2.11.2
joblib 0.16.0
json5 0.9.5
jsonschema 3.2.0
jupyter-client 6.1.7
jupyter-core 4.6.3
jupyterlab 2.2.8
jupyterlab-pygments 0.1.1
jupyterlab-server   1.2.0
Keras-Preprocessing 1.1.2
kiwisolver 1.2.0
llvmlite 0.36.0
Markdown 3.3.3
MarkupSafe 1.1.1
matplotlib 3.3.2
minorminer 0.2.5
mistune 0.8.4
more-itertools 8.5.0
mpmath 1.1.0
multitasking 0.0.9
nbclient 0.5.0
nbconvert 6.0.5
nbformat 5.0.7
nest-asyncio 1.4.0
networkx 2.5
notebook 6.1.4
ntlm-auth 1.5.0
numba 0.53.1
numexpr 2.7.1
numpy 1.20.1
oauthlib 3.1.0
opt-einsum 3.3.0
osqp 0.6.2.post0
packaging 20.4
pandas 1.1.2
pandocfilters 1.4.2
parso 0.7.1
PennyLane 0.14.1
pickleshare 0.7.5
Pillow 7.2.0
pip 20.2.3
plucky 0.4.3
ply 3.11
prometheus-client 0.8.0
prompt-toolkit 3.0.7
protobuf 3.15.1
psutil 5.7.2
pyasn1 0.4.8
pyasn1-modules 0.2.8
pybind11 2.6.2
pycparser 2.20
Pygments 2.7.1
pylatexenc 2.7
pyparsing 2.4.7
pyrsistent 0.17.3
python-constraint 1.4.0
python-dateutil   2.8.1
pytz 2020.1
pywin32 228
pywinpty 0.5.7
pyzmq 19.0.2
qdldl 0.1.5.post0
qiskit 0.25.1
qiskit-aer 0.8.1
qiskit-aqua 0.9.1
qiskit-ibmq-provider 0.12.2
qiskit-ignis 0.6.0
qiskit-machine-learning 0.1.0
qiskit-terra 0.17.1
qiskit-textbook 0.1.0
Quandl 3.5.2
requests 2.24.0
requests-ntlm 1.1.0
requests-oauthlib 1.3.0
retworkx 0.8.0
rsa 4.7.1
scikit-learn 0.23.2
scipy 1.5.2
scs 2.1.2
semantic-version 2.6.0
Send2Trash 1.5.0
setuptools 47.1.0
six 1.15.0
sparse 0.12.0
sympy 1.6.2
tensorboard 2.4.1
tensorboard-plugin-wit 1.8.0
tensorflow 2.4.1
tensorflow-estimator 2.4.0
termcolor 1.1.0
terminado 0.9.1
testpath 0.4.4
threadpoolctl 2.1.0
toml 0.10.1
torch 1.7.1
tornado 6.0.4
traitlets 5.0.4
typing-extensions 3.7.4.3
urllib3 1.25.10
wcwidth 0.2.5
webencodings 0.5.1
websockets 8.1
Werkzeug 1.0.1
wheel 0.36.2
widgetsnbextension 3.5.1
wrapt 1.12.1
yfinance 0.1.54





Friday, May 7, 2021

C1000-112 Certification - Introduction

C1000-112 Certification by KG


I am going to log my activities related to C1000-112 Certification.

What is C1000-112 Certification?
This is a professional certification provided by IBM for Quantum Computing professionals.  Name of this course is 'Fundamentals of Quantum Computation Using Qiskit v0.2X Developer'.

Why this certification?
To my knowledge, this is the first professional certification for Quantum Computing.  I am good at QISKit programming.  So I decided to pursue this certification.

Timeline of my efforts
21-05-05 : Registered for this Certification in https://home.pearsonvue.com/
21-05-06 : Started preparing using QISKit Textbook https://qiskit.org/textbook
21-05-08 : Started this blog 
21-05-08 : Completed few chapters in QISKit Textbook (The Atoms of Computation). I studied many concepts from QISKit Textbook earlier for conducting training sessions and learning purpose.  This is first time am preparing for exam.  So decided to read all chapters thoroughly.

Table of Contents